Remdesivir

Banner image with text: 'Stay informed with the latest IP news' and the following words listed: Insights, Interviews, Webinars.

Clarifying the patentability of medical use inventions in China

By AWA | Posted on May 20, 2020

At the end of 2019, the new Coronavirus (2019-nCoV) emerged. It has gone on to infect millions of people worldwide and so far, claimed the lives of over a quarter of a million people. COVID-19 has disrupted the world economy like never before. At the same time, it has brought unprecedented global attention to disease...

Tags: china, CNIPA, EPO, Gilead, inventions, JPO, medical use, patents, Remdesivir

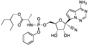
What patent protection does Gilead’s COVID-19 treatment Remdesivir have?

By Anders Heebøll-Nielsen, Michael Bech Sommer | Posted on April 30, 2020

On 29 April 2020 Gilead announced that its drug Remdesivir has a positive effect in the treatment of COVID-19 from a phase three trial of the drug. The investigation was so successful that for ethical reasons it was “unblinded” – the effect observed was so significant that retaining the group on placebo would prevent those...

Tags: applications, Coronavirus, COVID-19, Gilead, IPR protection, patents, PCT, Remdesivir

Recent contributors

Alexandre Theodorou, Partner and European Patent Attorney, Brussels, Belgium

Alexandre Theodorou

Partner, European Patent Attorney

Laura Stravinskaite, Senior Associate and Attorney at Law, Copenhagen K, Denmark

Laura Stravinskaite

Senior Associate, Attorney at Law

Ai-Leen Lim, Partner and Attorney at Law, Hong Kong SAR

Ai-Leen Lim

Partner, Attorney at Law, Group Vice President

Ashley Zhao, Partner and Attorney at Law, Beijing, China

Ashley Zhao

Partner, Attorney at Law, Business Area Manager

Troels Peter Rørdam, Senior Counsel and European Patent Attorney, Copenhagen K, Denmark

Troels Peter Rørdam

Senior Counsel, European Patent Attorney